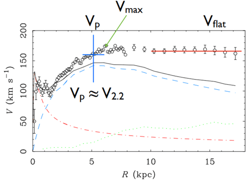
The Tully-Fisher relation is a widely verified empirical relation between certain galactic characteristics first published by Brent Tully and Richard Fisher in 1977. To call it a single relation might be something of a misnomer since the phrase “Tully-Fisher” is used to describe a range of very similar relations all of which have a kinematic variable on the one hand and a measure of the matter on the other. According to MOND the baryonic Tully-Fisher relation (BTFR) is the most fundamental of all of these. The BTFR is also the strongest relation of all of the different possibilities. It says that the flat rotational velocity of the galaxy to the fourth power is proportional to the “baryonic” mass. This flat rotational velocity is measured like in the graph below:

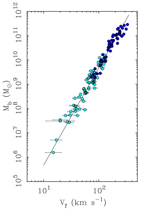
The BTFR als relies on the baryonic mass, which is the total mass of all the ordinary matter in a galaxy (stars and gas, as well as negligible amounts of other matter such as dust, planets and so on). In the three graphs below we can see that Tully-Fisher relations based on the mass are considerably stronger than those based on the light emitted by a galaxy. Stars do not emit equal amounts of light for equal amounts of mass so correcting the observed light for this mass-to-light ratio using the colour of the galaxy gets us a much better correlation. Further we can see that we need to take into account the mass of the gas in a galaxy as well because then all galaxies fall on the same line:



Derivation
The baryonic Tully-Fisher relation follows directly from the Milgromian limit of MOND.
Observational status of the baryonic Tully-Fisher relation


The work by professor Stacy McGaugh at Case Western University on low surface brightness galaxies has been instrumental in establishing and extending the baryonic Tully-Fisher relation as an observational fact.
The BTFR is one of the original predictions of Milgrom from his foundational papers and thus far it has withstood all challenges directed at it. More in depth discussions of these challenges can be found in these two posts by McGaugh:
Importance
So what is the BTFR useful for? A common (and the original) use for the Tully-Fisher relation to determine the distance to galaxies.

The BTFR is also clear evidence for MOND. According to MOND all galaxies regardless of density should fall on the same BTFR because the dependence on radius falls out during the derivation due to the Milgromian limit. The animation shows that this is clearly true. In Newtonian gravity this makes no sense. The Newtonian predictions are also shown which the data clearly don’t follow.
Furthermore Jim Schombert, Stacy McGaugh and Frederico Lelli have also used the BTFR based on data from the SPARC database to get a determination of Hubble’s constant H0. This constant quantifies the expansion rate of the universe and is probably the most important and currently most controversial constant in all of cosmology. It is controversial because measurements from the early universe and the late universe don’t seem to agree with one another, something known as the “Hubble tension”. The BTFR agrees with other local late universe measurements of H0 and is in tension with measurements of H0 based on the CMB (cosmic microwave background). Another post on Triton Station goes further into this:





Leave a Reply